Recent Posts
Link
| 일 | 월 | 화 | 수 | 목 | 금 | 토 |
|---|---|---|---|---|---|---|
| 1 | 2 | 3 | 4 | 5 | 6 | 7 |
| 8 | 9 | 10 | 11 | 12 | 13 | 14 |
| 15 | 16 | 17 | 18 | 19 | 20 | 21 |
| 22 | 23 | 24 | 25 | 26 | 27 | 28 |
| 29 | 30 | 31 |
Tags
- REACT
- ML
- 딥러닝
- pytorch
- nerf
- clean code
- SSL
- dl
- FGVC
- Front
- 머신러닝
- algorithm
- 알고리즘
- cs
- Depth estimation
- PRML
- math
- computervision
- Torch
- Python
- 3d
- CV
- rl
- Meta Learning
- Vision
- 자료구조
- nlp
- web
- classification
- FineGrained
- Today
- Total
KalelPark's LAB
[3D Diffusion / GenAI] Classifier Guidance and Free Guidance 본문
Advanced 3D vision/3D Diffusion
[3D Diffusion / GenAI] Classifier Guidance and Free Guidance
kalelpark 2025. 12. 2. 12:50
Classifier Guidance
- Condition y 를 고려하여, joint distribution을 구축하고, xt에 대한 condition을 고려하여 y 예측

- Classifier 를 추가하여 모델을 학습함. Weight를 곱하여, Conditioned 에 대한 정도를 향상 시킬 수 있음


- Classifier 를 추가하여 모델을 학습함. Weight를 곱하여, Conditioned 에 대한 정도를 향상 시킬 수 있음.
이러한 방법을 활용하면, p(y|x)^w로 인하여, 각 class에 대해서 more focus를 들 수 있다.
더 나아가, 다양한 fidelity를 보여줄 수 있다. 다만 다양성이 떨어지는 측면에서 문제가 될 수 있다.
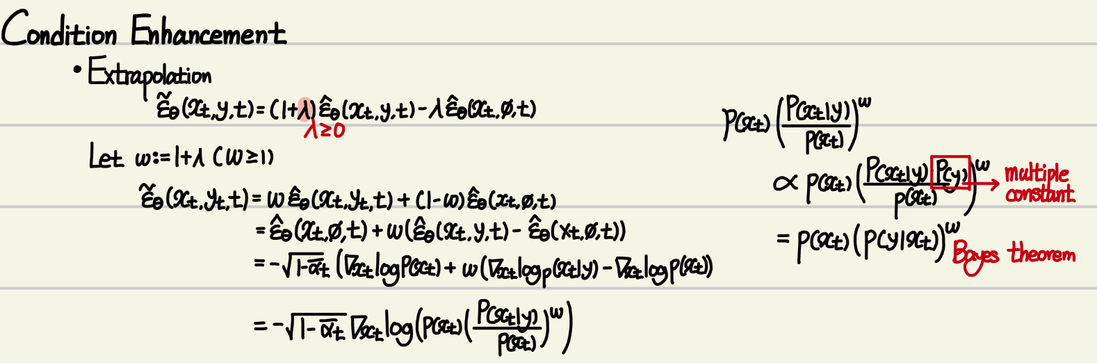
Classifier Free Guidance
- 그러면 null로 넣으면 non-condition으로 jointly learning 이 가능하다. 그렇게 된다면, interpolation 또한 가능하다.

- 즉, Class Free guidance 정리 시 Class guidance와 동일 시 된다는 것을 확인할 수 있습니다.
'Advanced 3D vision > 3D Diffusion' 카테고리의 다른 글
| [3D Diffusion / GenAI] Flow Matching (0) | 2025.12.05 |
|---|---|
| [3D Diffusion / GenAI] Reverse Process & Probability ODE (0) | 2025.12.04 |
| [3D Diffusion / GenAI] Variational Preserving and Exploding (0) | 2025.12.04 |
| [3D Diffusion / GenAI] Diffusion Models for Continuous (0) | 2025.12.04 |
| [3D Diffusion / GenAI] Score-based Generative Model (0) | 2025.12.02 |
Comments